안녕하세요.
오늘은 자료구조 트리(Tree)에 대해 포스팅 합니다.
필수적으로 알아야 할것들만 정리하였습니다.
트리구조에 대해 대략적으로 설명하므로, 특정 용어나 개념들은 따로 찾아봐야 합니다.
트리(Tree) 란

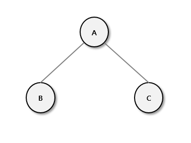
위 본문의 그림과 같이 노드 와 간선으로 이루어진 것을 그래프(Graph) 라고 합니다.
트리는 이러한 그래프 의 일종 입니다. 아래의 규칙을 따르는 그래프를 트리라고 일컫습니다.
사실 규칙을 외울 필요는 없고, 이런 형태구나 정도로 기억하면 될 거 같습니다.
트리 규칙
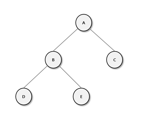
특정 노드는 오직 하나의 조상 노드와 N 개의 자식 노드와 연결됩니다.
- 특정노드에서 조상노드, 자식노드는 레벨의 차이가 반드시 1이어야 합니다.
C 노드는 하나의 조상 노드인A와 2개의 자식 노드인G,H와 연결됩니다.
- 여러 노드가 한 노드를 가리킬 수 없습니다.
- 노드와 노드를 잇는 길(
간선)이 하나만 존재합니다.
또한 트리는 다음과 같은 특징들을 가집니다.
높이
트리는 루트로 부터 레벨 을 셀 수가 있는데 이때 최대 레벨의 값을 높이라 부를 수 있습니다.
따라서, 예제의 트리의 높이는 3입니다.
말단 노드(리프 노드)
자식이 없는 노드를 말단 노드 또는 리프 노드라 일컫습니다.
형제 노드
같은 부모를 가지는 노드들을 형제(sibling)노드라 부릅니다.
서브 트리
트리안에서 특정 범위를 묶어 하나의 작은 트리를 구성 할 수 있습니다.
예제 트리의 빨간 박스, 파란 박스 와 같은 예시처럼 묶을 수 있으며 이를 서브 트리라 일컫습니다.
이진트리 (Binary Tree) 란
트리의 특정 노드는 자식의 개수를 제한 없이 가질 수 있는데요.
이때, 최대 2개의 자식 노드만 가질 수 있다 는 조건을 추가한것을 이진트리라고 부릅니다.
쉽게 말해, 노드가 왼쪽 자식 과 오른쪽 자식을 갖는 특징을 가집니다.
예제의 트리도 이진트리라 부를 수 있습니다.
이진트리구조를 갖추면, 해당 구조가 제공하는 연산의 이점들이 존재합니다.
예를들면, 노드의 개수를 알면 높이를 알 수 있습니다.
레벨(N)당 노드의 개수는 2^N 이기 때문입니다.
대표적으로 사용되는 연산은 탐색입니다.
너무나도 유명한 이진 탐색 트리 를 구성할 수 있습니다.
특정 조건이 추가된 이진 트리들이 있습니다.
완전 이진트리
모든 레벨에서의 노드가 꽉차 있어야 합니다.
예외적으로, 마지막 레벨에서의 노드는 꽉차 있지 않아도 되지만 왼쪽에서 차례대로 채워져야만 합니다.
예시 트리도 완전 이진트리 입니다.
예시 트리에서
N만 없애거나, (M,N) 을 없애거나, (L,M,N)을 없앤 케이스도완전 이진트리입니다.
전 이진트리
- 특정 노드의 자식이 0개 또는 2개로만 구성되어 있는 트리를 의미합니다.
- 예시 트리에서 (
G,H)를 없애거나, (E,F,K,L,M,N)을 없앤 케이스를전 이진트리로 볼 수 있습니다.
포화 이진트리
모든 말단 노드가 같은 높이에 있어야 합니다.
- 예를들어, (
E,F,K,L,M,N)을 없앤 케이스를전 이진트리형태는 말단 노드인B가 다른 말단 노드인G와 레벨이 동일하지 않습니다.
- 예를들어, (
마지막 레벨에서 노드의 개수가 최대가 되어야 합니다.
예시 트리도
포화 이진트리라 부를 수 있습니다.
이진 탐색트리
노드의 자식은 아래의 규칙을 따릅니다.
- 오른쪽 노드의 값 < 현재 노드의 값 < 왼쪽노드의 값
값을 이용한 규칙을 통해 구조를 쌓으면 추후 이진 탐색을 사용할 수 있습니다.
다음 포스팅에서 자세히 다룰 예정입니다.
이진트리 순회
이진트리를 연산하기 위해서는 순회는 빼놓을 수 없습니다. 방문하지 않으면 값을 알 수 없기 때문입니다.
순회는 많이 알려진 방법인 너비우선탐색(BFS), 깊이우선탐색(DFS) 으로 나눌 수 있습니다.
너비우선탐색(BFS)
레벨순으로 차례대로 탐색합니다.
예시 트리를 기준으로 설명드리자면, 아래와 같이 탐색합니다.
Root > A > B > C > D > E > F > G > H > I > J > K > L > M > N
깊이우선탐색(DFS)
탐색 방법 3가지가 존재합니다.
기본적으로 왼쪽 자식 노드에서 오른쪽 자식 노드로 순회를 한다고 가정(B -> C)하고 현재 노드(A)가 방문되는 순서를 기억하면 좋습니다.

전위 순회 (pre-order traversal)
- 현재 노드(
A)가 첫번째로 방문 됩니다. B->C는 고정이므로 첫번째로 방문되려면 맨 앞에 배치 되어야 합니다.A->B->C
- 현재 노드(
중위 순회 (in-order traversal)
- 현재 노드(
A)가 중간에 방문 됩니다. B->A->C
- 현재 노드(
후위 순회 (post-order traversal)
- 현재 노드(
A)가 마지막에 방문 됩니다. B->C->A
- 현재 노드(
위 예시는 서브 트리가 존재하지 않는 트리인 경우 입니다.
만약 서브 트리가 존재한다면 어떻게 방문할까요?
이때는 서브 트리를 하나의 노드라 생각하고 방문합니다.
다음의 트리를 이용하여 전위 순회로 알아봅시다.

해당 예시의 서브 트리는 (B, D, E) 입니다.
STEP1: 서브 트리를 하나의 노드(BB)로 치환하여 전위 순회를 진행합니다.(A -> BB -> C)
STEP2: BB도 트리이므로 내부적으로 순회를 똑같이 진행합니다. (B -> D -> E)
STEP3: 서브 트리 순회 결과를 치환한 노드BB에 반영합니다. (A -> B -> D -> E -> C)
최초 분문의 예시를 각 방법으로 순회 하면 다음과 같습니다. (ROOT의 위치를 살펴보세요.)
전위 순회 : ROOT > A > C > G > H > D > I > J > B > E > K > L > F > M > N
중위 순회 : G > C > H > A > I > D > J > ROOT > K > E > L > B > M > F > N
후위 순회 : G > H > C > I > J > D > A > K > L > E > M > N > F > B > ROOT
오늘 준비한 내용은 여기까지 입니다.
읽어주셔서 감사합니다.
'자료구조' 카테고리의 다른 글
| [자료구조] B 트리 (0) | 2021.07.29 |
|---|---|
| [자료구조] 이진탐색트리 (1) | 2021.07.12 |
포스팅이 도움 되셨다면, 커피 한잔 후원해주세요!
더 좋은 포스팅 작성에 큰 힘이 됩니다.